221G Form Sample
221G Form Sample - In this article, we will review those samples and what they mean, and some context around them. In order to submit requested documentation to the consular section, you must bring duly filled 2 copies of this letter, 221(g).
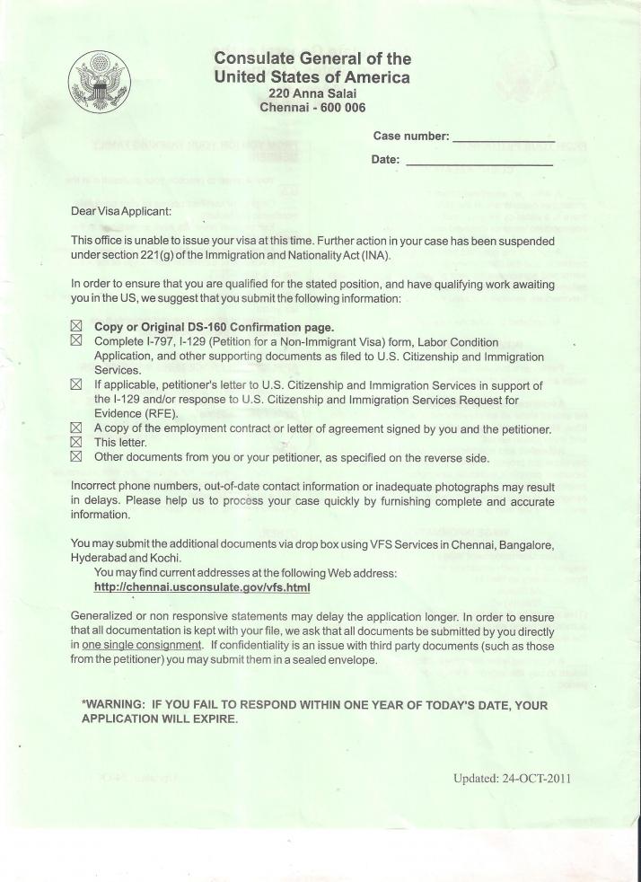
In order to submit requested documentation to the consular section, you must bring duly filled 2 copies of this letter, 221(g). In this article, we will review those samples and what they mean, and some context around them.
In order to submit requested documentation to the consular section, you must bring duly filled 2 copies of this letter, 221(g). In this article, we will review those samples and what they mean, and some context around them.
What is Section 221g? Color Slips White, Blue, Yellow, Pink
In this article, we will review those samples and what they mean, and some context around them. In order to submit requested documentation to the consular section, you must bring duly filled 2 copies of this letter, 221(g).
221g Form Path2USA
In order to submit requested documentation to the consular section, you must bring duly filled 2 copies of this letter, 221(g). In this article, we will review those samples and what they mean, and some context around them.
221 G Letter Sample
In this article, we will review those samples and what they mean, and some context around them. In order to submit requested documentation to the consular section, you must bring duly filled 2 copies of this letter, 221(g).
Form 221g Blue, Yellow, White Reasons Canada, Mexico, India USA
In order to submit requested documentation to the consular section, you must bring duly filled 2 copies of this letter, 221(g). In this article, we will review those samples and what they mean, and some context around them.
What Is 221g Letter For Us Visa
In order to submit requested documentation to the consular section, you must bring duly filled 2 copies of this letter, 221(g). In this article, we will review those samples and what they mean, and some context around them.
What Is A 221g Letter
In this article, we will review those samples and what they mean, and some context around them. In order to submit requested documentation to the consular section, you must bring duly filled 2 copies of this letter, 221(g).
Fill Free fillable 221g White Sample Form Us Consulate Mumbai
In order to submit requested documentation to the consular section, you must bring duly filled 2 copies of this letter, 221(g). In this article, we will review those samples and what they mean, and some context around them.
Called for Interview after Dropbox H1B Visa Experience Hyderabad
In order to submit requested documentation to the consular section, you must bring duly filled 2 copies of this letter, 221(g). In this article, we will review those samples and what they mean, and some context around them.
This Applicant Has No 221g History Meaning
In order to submit requested documentation to the consular section, you must bring duly filled 2 copies of this letter, 221(g). In this article, we will review those samples and what they mean, and some context around them.
In Order To Submit Requested Documentation To The Consular Section, You Must Bring Duly Filled 2 Copies Of This Letter, 221(G).
In this article, we will review those samples and what they mean, and some context around them.








