Do Open Cases Appear On Background Checks
Do Open Cases Appear On Background Checks - There are companies that, for a few hundred dollars,. Open cases, including pending charges, can appear on comprehensive background checks. In theory, it is an open case and not a conviction though, so it is possible it won't show up.
There are companies that, for a few hundred dollars,. In theory, it is an open case and not a conviction though, so it is possible it won't show up. Open cases, including pending charges, can appear on comprehensive background checks.
In theory, it is an open case and not a conviction though, so it is possible it won't show up. There are companies that, for a few hundred dollars,. Open cases, including pending charges, can appear on comprehensive background checks.
Background Checks in Legal Cases Advantage Investigators
Open cases, including pending charges, can appear on comprehensive background checks. There are companies that, for a few hundred dollars,. In theory, it is an open case and not a conviction though, so it is possible it won't show up.
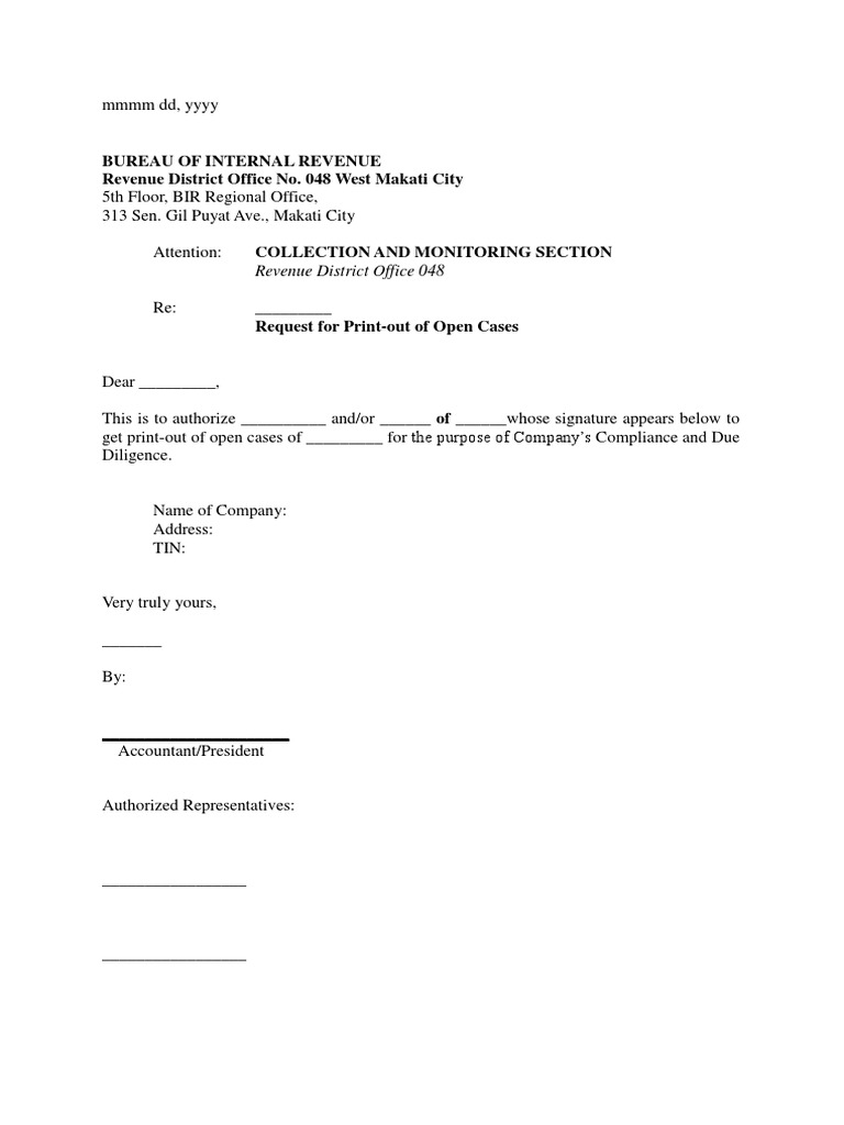
Request For BIR Open Cases PDF
There are companies that, for a few hundred dollars,. In theory, it is an open case and not a conviction though, so it is possible it won't show up. Open cases, including pending charges, can appear on comprehensive background checks.
Criminal Background Checks for Employment [2024]
Open cases, including pending charges, can appear on comprehensive background checks. In theory, it is an open case and not a conviction though, so it is possible it won't show up. There are companies that, for a few hundred dollars,.
Quantum Cyber Security & Investigations, Inc Hiring? Why Background
In theory, it is an open case and not a conviction though, so it is possible it won't show up. Open cases, including pending charges, can appear on comprehensive background checks. There are companies that, for a few hundred dollars,.
Civil Background Checks For Cases Go Beyond Just That Choosing The
There are companies that, for a few hundred dollars,. Open cases, including pending charges, can appear on comprehensive background checks. In theory, it is an open case and not a conviction though, so it is possible it won't show up.
How Long Do Background Checks for Employment Take? Reader's Digest
In theory, it is an open case and not a conviction though, so it is possible it won't show up. There are companies that, for a few hundred dollars,. Open cases, including pending charges, can appear on comprehensive background checks.
The Truth About Background Checks
In theory, it is an open case and not a conviction though, so it is possible it won't show up. Open cases, including pending charges, can appear on comprehensive background checks. There are companies that, for a few hundred dollars,.
Advanced Background Checks Opt Out & Remove Your Info [2024] Incogni
In theory, it is an open case and not a conviction though, so it is possible it won't show up. Open cases, including pending charges, can appear on comprehensive background checks. There are companies that, for a few hundred dollars,.
Put candidate screening on autopilot with Deel’s Background Checks
There are companies that, for a few hundred dollars,. In theory, it is an open case and not a conviction though, so it is possible it won't show up. Open cases, including pending charges, can appear on comprehensive background checks.
Open Cases, Including Pending Charges, Can Appear On Comprehensive Background Checks.
In theory, it is an open case and not a conviction though, so it is possible it won't show up. There are companies that, for a few hundred dollars,.

![Criminal Background Checks for Employment [2024]](https://iprospectcheck.com/wp-content/uploads/2020/11/criminal-background-check.jpg)




![Advanced Background Checks Opt Out & Remove Your Info [2024] Incogni](https://blog.incogni.com/wp-content/uploads/2022/09/AdvancedBackgroundChecks_1.png)

![Pennsylvania Background Checks [All You Need To Know]](https://trinity-core.s3.us-west-1.amazonaws.com/techjury/8827/Pennsylvania-Background-Checks.png)